おかげさまで開設25周年JOHNGUNNCFO.COM 創業祭

JOHNGUNNCFO.COM

詳しくはこちら
マイストア マイストア 変更
  • 即日配送
  • 広告
  • 取置可能
  • 店頭受取

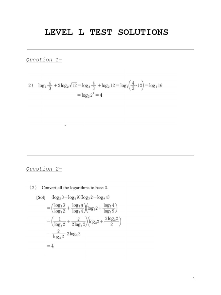
HOT ! KUMON 数学 L Level L Test Solutions: Question 1 | PDF

※JOHNGUNNCFO.COM 限定モデル
YouTuberの皆様に商品の使い心地などをご紹介いただいております!
紹介動画はこちら

ネット販売
価格(税込)

6375

  • コメリカード番号登録、コメリカードでお支払いで
    コメリポイント : 0ポイント獲得

コメリポイントについて

購入個数を減らす
購入個数を増やす

お店で受け取る お店で受け取る
(送料無料)

受け取り店舗:

お店を選ぶ

近くの店舗を確認する

納期目安:

13時までに注文→17時までにご用意

17時までに注文→翌朝までにご用意

受け取り方法・送料について

カートに入れる

配送する 配送する

納期目安:

2026.01.01 16:28頃のお届け予定です。

決済方法が、クレジット、代金引換の場合に限ります。その他の決済方法の場合はこちらをご確認ください。

※土・日・祝日の注文の場合や在庫状況によって、商品のお届けにお時間をいただく場合がございます。

即日出荷条件について

受け取り方法・送料について

カートに入れる

欲しいものリストに追加

欲しいものリストに追加されました

KUMON 数学 L Level L Test Solutions: Question 1 | PDFの詳細情報

Level L Test Solutions: Question 1 | PDF。Overcoming Challenges of Kumon Level L in Math | TikTok。Level L Math Kumon | TikTok。Help with K33a: I don't get how it got a = -1, b = 5 and the rest。KUMONの数学教材プリント1〜200までLの前半と後半の解答終了テスト(解答プリントあり)10枚ずつボッチキスで留めていた後はありますが、記入、破れ等はありません新品に近い状態です
  • Level L Test Solutions: Question 1 | PDF
  • Overcoming Challenges of Kumon Level L in Math | TikTok
  • Level L Math Kumon | TikTok
  • Help with K33a: I don't get how it got a = -1, b = 5 and the rest

同じカテゴリの 商品を探す

ベストセラーランキングです

このカテゴリをもっと見る

この商品を見た人はこんな商品も見ています

近くの売り場の商品

このカテゴリをもっと見る

カスタマーレビュー

オススメ度  4点

現在、6000件のレビューが投稿されています。